一楼一凤论坛的最新消息今天深圳桑拿飞机论坛2025 ,一品楼免费信息论坛春风阁(全国信息) ,全国上课品茶论坛 ,一品楼全国论坛闲聊51一品茶楼论坛

卓邦案例分析

您所在的位置: 首页 > 资讯频道 > 技术支持 > 技术文章 > 浅谈戏曲的剧场声学设计

浅谈戏曲的剧场声学设计

来源:ZOBO卓邦 发布日期 2023-03-13 浏览:

  基于戏曲表演的声学要求,阐述了用于戏曲表演剧场的声学特征,通过体型、扬声器系统 的设计及实施,满足戏曲演出的声学环境。

浅谈戏曲的剧场声学设计

  一、戏曲剧场的声学特征及要求

  要做好戏曲剧场的声学设计,必须了解戏曲表演的声学特征及其对剧场的声学要求。

  1.1声源特点

  戏曲表演的声源主要由演员人声(唱腔和念白)、乐队伴奏声及音效三大部分组成。其中,人声是说唱结合,包括地方方言,这是戏曲与其他音乐门类在风格上相区别的重要特征。这类剧场的混响时间既要照顾到念白的清晰,又要兼顾到演唱和配乐的丰满。演员人声与乐队器乐伴奏声依艺术表演需要,以表演唱腔为主,伴奏为辅,因此,音响设计与调音需要满足音乐和形体节奏互为作用的效果,掌握好各声部拾音与合适的混合比。如打击乐声对演员形体节奏表演可以起到渲染烘托的效果,武打群舞演员表现两军交战、冲锋陷阵、翻腾跌扑时,清晰响亮的锣鼓点子声起到整齐统一的作用。

  1.2声源位置的变化

  在做剧场体型设计时,需要依据表演形式确定自然声源的位置,从而使观众席获取充分的早期反射声。早期的戏曲表演,人声、伴奏乐队均来自舞台,但随着戏曲艺术表演的发展,因大量布景需要占用侧台空间,伴奏乐队被安排在乐池内。声源的分布发生了变化,因此,在做建声的声线分析时需考虑这一因素的影响。

  1.3舞台与观众厅的关系

  不同功能剧场的混响时间,GB/T50356—2005《剧场、电影院和多功能厅堂建筑声学设计规范》(以下简称GB/T50356—2005)中均有规定,详见图2、图3,以戏曲功能为主的剧场,在相同容积下,其观众厅混响时间较其它功能剧场低。同时,舞台建设依据JGJ57—2016《剧场建筑设计规范》,台口和主舞台尺度如表2,舞台的空间通常比较大。因此,大空间的舞台与规模不大的观众厅的声耦合,也是声学设计中需要考虑的问题。

2浅谈戏曲的剧场声学设计

3浅谈戏曲的剧场声学设计

  1.4避免声反馈的产生

  无论建声设计还是扩声设计,观众席特别是关键区域的直达声和近次反射声是分析的要素。在这一过程中,对于乐池中伴奏的拾音,处于扬声器覆盖区或边缘上,需要避免声反馈的产生。特别是在有些剧场,为了获得较好的声场均匀度,采用扬声器的垂直覆盖角度会稍大一点。有些情况下,为了照顾特殊区域的听声效果,扩声系统 安装调试时,在垂直方向上调整扬声器的倾角,使其声轴稍向特殊区域倾斜。在这种情况下,乐池内分布的大量传声器很有可能会因避免产生声反馈而降低传声增益,从而影响演出扩声效果。

  二、主要声学问题的解决方案

  以上简单分析了用于戏曲表演剧场的主要声学特点,在声学设计时即可有针对性地设计解决方案。

  2.1剧场的体型设计

  戏曲剧场的建声设计应明确以自然声为主的方法来设计。因此,其建声设计除混响时间及其频率特性设计外,需合理进行体型设计,充分利用直达声及早期反射声,这不仅可以增加响度和念白的清晰度,还可增加声音的亲切感、空间感。

  室内声学的研究表明,早期反射声对提高音质的空间感有较好效果,这就涉及到两侧八字墙、天花板的设计,并确定声源的位置。按GB/T50356—2005,“声源位置通常取大幕线的中点,离舞台面高1.5米处”。即使乐池升起后形成伸出式舞台,也不宜将声源点向台口外移,声源位置仍按镜框式舞台来确定。声源通过特定体型的台口天花板(声桥至面光口)、八字墙,使近次反射声均匀覆盖观众区。该剧场声源到第1排的直达声声程(6m)与到达第1排的反射声程(8.5m+11.3m)小于17m,不会产生回声。

  需要注意的是,初步按此确定台口天花板反射面后,还要适当调整此面,尽可能兼顾近次反射声对乐池的覆盖。当然还可利用乐池的某些壁面作反射面,如图4所示。

4浅谈戏曲的剧场声学设计

  图4乐池壁面与乐池上天棚的声反射面做法

  若将声源位置按乐池作为伸出式舞台,移向升降台口线上,按原声源位置的体型设计会产生反射声落在声源附近并进入舞台,在前区观众席会产生回声等声学缺陷。若要改善这一现象,从扬声器口后至面光口处的天花板要向上翘起,如图5所示。

浅谈戏曲的剧场声学设计

  图5伸出式舞台剖面声线图

  综上分析,依据该剧场特点进行体型设计时,声源点位置仍定在台口线中点1.5m高处,主要措施如下。

  (1)充分利用直达声

  一是利用观众席起坡,使直达声均匀覆盖观众区,避免声遮挡现象;二是控制楼座眺台下开口的深高比,使台口上方主扬声器的直达声直接向楼下观众区辐射;三是严格控制面光口、耳光口的面积,以减少对直达声能的损耗。

  (2)尽可能获取更多近次反射声

  在避免出现回声的前提下,通过调整天花板的高度及形状,获得近次反射声面,反射声延时控制在35ms内。同时,通过调整台口两侧八字墙的形状,也使观众席获得较均匀的早期侧向反射声。

  2.2声耦合的控制

  对于较小规模、较低混响时间的戏剧表演剧场,为了减小舞台与观众厅声耦合带来对观众厅音质的损害,GB/T50356—2005中有明确的规定:舞台空间应进行适当吸声处理。大幕下落及常用舞台设置条件下舞台空间的中频(500~1000Hz)混响时间不宜超过观众厅空场混响时间。所以,剧场建声设计时,要求舞台空间混响时间与大厅空场混响时间相同。

  当然,眺台下空间与观众厅池座区的声耦合也需引起注意,这里主要是依照声学设计规范掌握好开口的深高比。

  2.3扬声器系统的设计及调试

  传声增益是扩声系统为重要的声学指标,是指系统达到高可用增益(临界增益减去6dB增益裕量)时,在指定的各听众位置上测得的平均声压与传声器处声压的dB数差值。

  传声增益,针对剧场的实际,进行了相应的变换,对照图6说明如下。

6浅谈戏曲的剧场声学设计

  图6剧场乐池拾音状态下的传声增益分析示意图

7浅谈戏曲的剧场声学设计

  其中,ψ是扬声器声轴与传声器间的偏角,ψ1是伴奏乐队在下场门台口右侧时的偏角,ψ2是伴奏乐队在乐池时的偏角;D1是扬声器与传声器间的距离;θ是扬声器声轴线与扬声器向指定听众辐射声线所构成的偏角,D2是扬声器与指定某听众间的距离;γ是扬声器向传声器方向辐射声线与传声器声轴的夹角,γ1是伴奏乐队在下场门台口右侧时扬声器向传声器方向辐射声线与传声器声轴的夹角,γ2是伴奏乐队在乐池时扬声器向传声器方向辐射声线与传声器声轴的夹角。

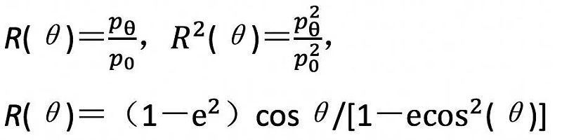
  Q是表示为距声源较远的某点声压/同点同功率的无指向性的声源的声压:

8浅谈戏曲的剧场声学设计

  其中,α、β分别是扬声器的水平、垂直覆盖角(-6dB)。

  R2(θ)、R2(ψ)是扬声器指向性函数,RM2(γ)、QM分别是传声器指向性函数和指向性因素。

  指向性函数的定义为:当声源指向性因素为Q,在偏声轴θ角方向距声源为r处的有效声压pθ与声轴方向距声源为r处的有效声压p0之比值,即:

9浅谈戏曲的剧场声学设计

  由上式可以得到以下结论。

  (1)当采用强指向性传声器拾音时,扬声器向传声器方向的辐射声线与传声器声轴的夹角(γ)越大,其传声增益因此而产生的附加贡献值就越大。主扩扬声器置于台口声桥上,当乐队伴奏从舞台上移到乐池,ψ变小,R2(ψ)值便变大,这就使伴奏乐队传声增益随之减小。为此,必须控制扬声器垂直覆盖,让其远离乐池。

  (2)扬声器向传声器辐射声线与扬声器声轴的夹角(ψ)越大,其R(ψ)越小,传声增益越大。这说明,扬声器垂直方向角越大其传声增益只会随之降低。为此在满足声场均匀度的前提下,扬声器垂直方向角不宜偏大。由此,对于该剧场的扩声,除选择强指向性传声器外,还需依剧场观众厅实际,选择合适垂直指向角的扬声器,避免覆盖到乐池。在安装调整扬声器时,其声轴不宜为照顾特殊区域而靠前,宜靠后,即指向观众厅长度的2/3处。

  剧场扩声主扬声器声线图如图7所示。依据上述理论设计扬声器系统,计算过程及结果如表3所示,包括扬声器的垂直方向角、水平方向角和大声压等参数的选取。

10浅谈戏曲的剧场声学设计

  图7剧场主扬声器声线图

  此外,在现场调音时,也可采用以下办法提高伴奏乐队拾音的传声增益。

  (1)适当调整乐队传声器与扬声器的距离。因各传声器间音质与灵敏度参差不齐,对几个高灵敏度并靠近扬声器的传声器调整摆放角度与距离等,解决部分回授的问题。

  (2)乐队拾音传声器综合各种因素,部分传声器选择强指向性,减小传声器之间的声干涉,提高乐器拾音清晰度,从而达到提升伴奏乐队整体传声增益。

  (3)在舞台台唇前沿增设一套台唇补声系统,重新布置调整音响覆盖范围。即把影响声反馈的主扬声器声轴向观众厅后调,用增设的补声扬声器在舞台台唇处向观众前区补声;并对两套系统进行整体平衡互补调整,既保证了贵宾席上的声音效果,又获取了较大传声增益,取得了不错的演出效果。

  以上简单地分析了以戏曲功能为主的剧场的声学特点,应用有效的声学技术手段提供适合戏曲演出的声学环境,使声音达到剧情的要求与场景的需要,以取得较好的艺术效果并增强艺术感染力。随着技术的进步,更多的新技术、新设备用于剧场的声学建设,如电子声学增强系统(或谓可变混响系统)。通过电声声场控制技术来控制室内的混响时间和频率特性,不仅可以实现混响时间可变,而且还可以对室内声场进行“修正或优化”,如增加近次反射声、声扩散,调整直达声、反射声和混响至比例,以及对混响时间频率特性进行调整等,从而满足不同剧目剧情的声效实时调整的需求。

  作为声学工作者,需要不断学习,提供戏曲表演的声学环境,使观众获得“听戏”的艺术享受。

相关话题