一楼一凤论坛的最新消息今天深圳桑拿飞机论坛2025 ,一品楼免费信息论坛春风阁(全国信息) ,全国上课品茶论坛 ,一品楼全国论坛闲聊51一品茶楼论坛

ZOBO卓邦专业音响logo

综合布线系统工程设计规范 GB50311-2016

1总则1.0.1为了规范建筑与建筑群的语音、数据、图像及多媒体业务综合网络建设,制定本规范。1.0.2本规范适用于新建、扩建、改建建筑与建筑群综合布线系统工程设计。1.0.3综合布线系统设施的建设,应纳入建筑与建筑群相应的规划设计之中,根据工程项目的性质、功能、环境条件和近、远期用户需求进行设计,应考虑施工和......

  因篇幅有限请到资料下载   下载完整文件。

  还可以了解更多关于会议室解决方案、产品和案例 等信息。

  还可以了解更多关于体育场馆解决方案、产品和案例 等信息。

  还可以了解更多关于剧场剧院解决方案、产品和案例 等信息。

  还可以了解更多关于学校教育   解决方案、产品和案例   等信息。


1 总 则

  1.0.1 为了规范建筑与建筑群的语音、数据、图像及多媒体业务综合网络建设,制定本规范。

  1.0.2 本规范适用于新建、扩建、改建建筑与建筑群综合布线系统工程设计。

  1.0.3 综合布线系统设施的建设,应纳入建筑与建筑群相应的规划设计之中,根据工程项目的性质、功能、环境条件和近、远期用户需求进行设计,应考虑施工和维护方便,确保综合布线系统工程的质量和安全,做到技术、经济合理。

  1.0.4 综合布线系统宜与信息网络系统、安全技术防范系统、建筑设备监控系统等的配线作统筹规划,同步设计,并应按照各系统对信息的传输要求,做到合理优化设计。

  1.0.5 综合布线系统工程设计中应选用出具合格检验报告、符合有关技术要求的定型产品。

  1.0.6 综合布线系统的工程设计除应符合本规范外,尚应符合现行有关标准的规定。

2术语和缩略语

2.1 术 语

  2.1.1 布线 cabling

  能够支持电子信息设备相连的各种缆线、跳线、接插软线和连接器件组成的系统。

  2.1.2 建筑群子系统 campus subsystem

  建筑群子系统由配线设备、建筑物之间的干线缆线、设备缆线、跳线等组成。

  2.1.3 电信间 telecommunications room

  放置电信设备、缆线终接的配线设备,并进行缆线交接的一个空间。

  2.1.4 工作区 work area

  需要设置终端设备的独立区域。

  2.1.5 信道 channel

  连接两个应用设备的端到端的传输通道。

  2.1.6 链路 link

  一个CP链路或是一个链路。

  2.1.7 链路 permanent link

  信息点与楼层配线设备之间的传输线路。它不包括工作区缆线和连接楼层配线设备的设备缆线、跳线,但可以包括一个CP链路。

  2.1.8 集合点 consolidation point(CP)

  楼层配线设备与工作区信息点之间水平缆线路由中的连接点。

  2.1.9 CP链路 CP link

  楼层配线设备与集合点(CP)之间,包括两端的连接器件在内的性的链路。

  2.1.10 建筑群配线设备 campus distributor

  终接建筑群主干缆线的配线设备。

  2.1.11 建筑物配线设备 building distributor

  为建筑物主干缆线或建筑群主干缆线终接的配线设备。

  2.1.12 楼层配线设备 floor distributor

  终接水平缆线和其他布线子系统缆线的配线设备。

  2.1.13 入口设施 building entrance facility

  提供符合相关规范的机械与电气特性的连接器件,使得外部网络缆线引入建筑物内。

  2.1.14 连接器件 connecting hardware

  用于连接电缆线对和光缆光纤的一个器件或一组器件。

  2.1.15 光纤适配器 optical fibre adapter

  将光纤连接器实现光学连接的器件。

  2.1.16 建筑群主干缆线 campus backbone cable

  用于在建筑群内连接建筑群配线设备与建筑物配线设备的缆线。

  2.1.17 建筑物主干缆线 building backbone cable

  入口设施至建筑物配线设备、建筑物配线设备至楼层配线设备、建筑物内楼层配线设备之间相连接的缆线。

  2.1.18 水平缆线 horizontal cable

  楼层配线设备至信息点之间的连接缆线。

  2.1.19 CP缆线 CP cable

  连接集合点(CP)至工作区信息点的缆线。

  2.1.20 信息点(TO) telecommunications outlet

  缆线终接的信息插座模块。

  2.1.21 设备缆线 equipment cable

  通信设备连接到配线设备的缆线。

  2.1.22 跳线 patch cord/jumper

  不带连接器件或带连接器件的电缆线对和带连接器件的光纤,用于配线设备之间进行连接。

  2.1.23 缆线 cable

  电缆和光缆的统称。

  2.1.24 光缆 optical cable

  由单芯或多芯光纤构成的缆线。

  2.1.25 线对 pair

  由两个相互绝缘的导体对绞组成,通常是一个对绞线对。

  2.1.26 对绞电缆 balanced cable

  由一个或多个金属导体线对组成的对称电缆。

  2.1.27 屏蔽对绞电缆 screened balanced cable

  含有总屏蔽层和/或每线对屏蔽层的对绞电缆。

  2.1.28 非屏蔽对绞电缆 unscreened balanced cable

  不带有任何屏蔽物的对绞电缆。

  2.1.29 接插软线 patch cord

  一端或两端带有连接器件的软电缆。

  2.1.30 多用户信息插座 multi-user telecom-munication outlet

  工作区内若干信息插座??榈淖楹献爸?。

  2.1.31 配线区 the wiring zone

  根据建筑物的类型、规模、用户单元的密度,以单栋或若干栋建筑物的用户单元组成的配线区域。

  2.1.32 配线管网 the wiring pipeline network

  由建筑物外线引入管、建筑物内的竖井、管、桥架等组成的管网。

  2.1.33 用户接入点 the subscriber access point

  多家电信业务经营者的电信业务共同接入的部位,是电信业务经营者与建筑建设方的工程界面。

  2.1.34 用户单元 subscriber unit

  建筑物内占有一定空间、使用者或使用业务会发生变化的、需要直接与公用电信网互联互通的用户区域。

  2.1.35 光纤到用户单元通信设施 fiber to the subscriber unit communication facilities

  光纤到用户单元工程中,建筑规划用地红线内地下通信管道、建筑内管槽及通信光缆、光配线设备、用户单元信息配线箱及预留的设备间等设备安装空间。

  2.1.36 配线光缆 wiring optical cable

  用户接入点至园区或建筑群光缆的汇聚配线设备之间,或用户接入点至建筑规划用地红线范围内与公用通信管道互通的人(手)孔之间的互通光缆。

  2.1.37 用户光缆 subscriber optical cable

  用户接入点配线设备至建筑物内用户单元信息配线箱之间相连接的光缆。

  2.1.38 户内缆线 indoor cable

  用户单元信息配线箱至用户区域内信息插座模块之间相连接的缆线。

  2.1.39 信息配线箱 information distribution box

  安装于用户单元区域内的完成信息互通与通信业务接入的配线箱体。

  2.1.40 桥架 cable tray

  梯架、托盘及槽盒的统称。


2.2 缩略语

  ACR-F(Attenuation to Crosstalk Ratio at the Far-end)衰减远端串音比

  ACR-N(Attenuation to Crosstalk Ratio at the Near-end)衰减近端串音比

  BD(Building Distributor) 建筑物配线设备

  CD(Campus Distributor) 建筑群配线设备

  CP(Consolidation Point) 集合点

  d.c.(Direct Current loop resistance) 直流环路电阻

  ELTCTL(Equal Level TCTL) 两端等效横向转换损耗

  FD(Floor Distributor) 楼层配线设备

  FEXT[Far End Crosstalk Attenuation(loss)] 远端串音

  ID(Intermediate Distributor) 中间配线设备

  IEC(International Electrotechnical Commission) 电工技术委员会

  IEEE(the Institute of Electrical and Electronics Engineers)美国电气及电子工程师学会

  IL(Insertion Loss) 插入损耗

  IP(Internet Protocol) 因特网协议

  ISDN(Integrated Services Digital Network) 综合业务数字网

  ISO(International Organization for Standardization) 标准化组织

  MUTO(Multi-User Telecom-munications Outlet) 多用户信息插座

  MPO(Multi-fiber Push On) 多芯推进锁闭光纤连接器件

  NI(Network Interface) 网络接口

  NEXT[Near End Crosstalk Attenuation(loss)] 近端串音

  OF(Optical Fibre) 光纤

  POE(Power Over Ethernet) 以太网供电

  PS NEXT [Power Sum Near End Crosstalk Attenuation(loss)] 近端串音功率和

  PS AACR-F(Power Sum Attenuation to Alien Crosstalk Ra-tio at the Far-end) 外部远端串音比功率和

  PS AACR-Favg(Average Power Sum Attenuation to Alien Crosstalk Ratio at the Far-end) 外部远端串音比功率和平均值

  PS ACR-F(Power Sum Attenuation to Crosstalk Ratio at the Far-end) 衰减远端串音比功率和

  PS ACR-N(Power Sum Attenuation to Crosstalk Ratio at the Near-end) 衰减近端串音比功率和

  PS ANEXT[Power Sum Alien Near-End Crosstalk(loss)]外部近端串音功率和

  PS ANEXTavg[Average Power Sum Alien Near-End Crosstalk(loss)] 外部近端串音功率和平均值

  PS FEXT[Power Sum Far end Crosstalk(loss)] 远端串音功率和

  RL(Return Loss) 回波损耗

  SC[Subscriber Connector(optical fibre connector)] 用户连接器件(光纤活动连接器件)

  SW(Switch) 交换机

  SFF(Small Form Factor connector) 小型光纤连接器件

  TCL(Transverse Conversion Loss) 横向转换损耗

  TCTL(Transverse Conversion Transfer Loss) 横向转换转移损耗

  TE(Terminal Equipment) 终端设备

  TO(Telecommunications Outlet) 信息点

  TIA(Telecommunications Industry Association) 美国电信工业协会

  UL(Underwriters Laboratories) 美国保险商实验所安全标准

  Vr.m.s(Vroot.mean.square) 电压有效值

3系统设计

3.1 系统构成

  3.1.1 综合布线系统应为开放式网络拓扑结构,应能支持语音、数据、图像、多媒体等业务信息传递的应用。

  3.1.2 综合布线系统的构成应符合下列规定:

  1 综合布线系统的基本构成应包括建筑群子系统、干线子系统和配线子系统(图3.1.2-1)。配线子系统中可以设置集合点(CP),也可不设置集合点。

《综合布线系统工程设计规范》GB50311-2007

图3.1.2-1 综合布线系统基本构成

  2 综合布线各子系统中,建筑物内楼层配线设备(FD)之间、不同建筑物的建筑物配线设备(BD)之间可建立直达路由[图3.1.2-2(a)]。工作区信息插座(TO)可不经过楼层配线设备(FD)直接连接至建筑物配线设备(BD),楼层配线设备(FD)也可不经过建筑物配线设备(BD)直接与建筑群配线设备(CD)互连[图3.1.2-2(b)]。

  3 综合布线系统入口设施连接外部网络和其他建筑物的引入缆线,应通过缆线和BD或CD进行互连(图3.1.2-3)。对设置了设备间的建筑物,设备间所在楼层配线设备(FD)可以和设备间中的建筑物配线设备或建筑群配线设备(BD/CD)及入口设施安装在同一场地。

图片2《综合布线系统工程设计规范》GB50311-2007

图3.1.2-2 综合布线子系统构成

图片3《综合布线系统工程设计规范》GB50311-2007

图3.1.2-3 综合布线系统引入部分构成

  4 综合布线系统典型应用中,配线子系统信道应由4对对绞电缆和电缆连接器件构成,干线子系统信道和建筑群子系统信道应由光缆和光连接器件组成。其中建筑物配线设备(FD)和建筑群配线设备(CD)处的配线??楹屯缟璞钢淇刹捎没チ蚪徊娴牧臃绞剑ㄖ锱湎呱璞?BD)处的光纤配线??榭梢嵌怨庀私谢チ?图3.1.2-4)。

图片4《综合布线系统工程设计规范》GB50311-2007

图3.1.2-4 综合布线系统应用典型连接与组成

  3.1.3 综合布线系统工程设计应符合下列规定:

  1 一个独立的需要设置终端设备(TE)的区域宜划分为一个工作区。工作区应包括信息插座???TO)、终端设备处的连接缆线及适配器。

  2 配线子系统应由工作区内的信息插座???、信息插座??橹恋缧偶渑湎呱璞?FD)的水平缆线、电信间的配线设备及设备缆线和跳线等组成。

  3 干线子系统应由设备间至电信间的主干缆线、安装在设备间的建筑物配线设备(BD)及设备缆线和跳线组成。

  4 建筑群子系统应由连接多个建筑物之间的主干缆线、建筑群配线设备(CD)及设备缆线和跳线组成。

  5 设备间应为在每栋建筑物的适当地点进行配线管理、网络管理和信息交换的场地。综合布线系统设备间宜安装建筑物配线设备、建筑群配线设备、以太网交换机、电话交换机、计算机网络设备。入口设施也可安装在设备间。

  6 进线间应为建筑物外部信息通信网络管线的入口部位,并可作为入口设施的安装场地。

  7 管理应对工作区、电信间、设备间、进线间、布线路径环境中的配线设备、缆线、信息插座??榈壬枋┌匆欢ǖ哪J浇斜晔?、记录和管理。

  3.1.4 综合布线系统与外部配线网连接时,应遵循相应的接口要求。

3.2 系统分与组成

  3.2.1 综合布线电缆布线系统的分与类别划分应符合表3.2.1的规定。

  表3.2.1 电缆布线系统的分与类别

图片5《综合布线系统工程设计规范》GB50311-2007

  注:5、6、6A、7、7A类布线系统应能支持向下兼容的应用。

  3.2.2 布线系统信道应由长度不大于90m的水平缆线、10m的跳线和设备缆线及多4个连接器件组成,链路则应由长度不大于90m水平缆线及多3个连接器件组成(图3.2.2)。

图片6《综合布线系统工程设计规范》GB50311-2007

图3.2.2 布线系统信道、链路、CP链路构成

  3.2.3 光纤信道应分为OF-300、OF-500和OF-2000三个等,各等光纤信道应支持的应用长度不应小于300m、500m及2000m。

  3.2.4 光纤信道构成方式应符合下列规定:

  1 水平光缆和主干光缆可在楼层电信间的光配线设备(FD)处经光纤跳线连接构成信道(图3.2.4-1)。

  2 水平光缆和主干光缆可在楼层电信间处经接续(熔接或机械连接)互通构成光纤信道(图3.2.4-2)。

图片7《综合布线系统工程设计规范》GB50311-2007

图3.2.4-1 光纤信道构成1

图片8《综合布线系统工程设计规范》GB50311-2007

图3.2.4-2 光纤信道构成2

  3 电信间可只作为主干光缆或水平光缆的路径场所(图3.2.4-3)。

  3.2.5 当工作区用户终端设备或某区域网络设备需直接与公用通信网进行互通时,宜将光缆从工作区直接布放至电信业务经营者提供的入口设施处的光配线设备。

图片9《综合布线系统工程设计规范》GB50311-2007

图3.2.4-3 光纤信道构成3


3.3 缆线长度划分

  3.3.1 主干缆线组成的信道出现4个连接器件时,缆线的长度不应小于15m。

  3.3.2 配线子系统信道的大长度不应大于100m(图3.3.2),长度应符合表3.3.2的规定。

图片10《综合布线系统工程设计规范》GB50311-2007

图3.3.2 配线子系统缆线划分

  表3.3.2 配线子系统缆线长度

图片11《综合布线系统工程设计规范》GB50311-2007

  注:①此处没有设置跳线时,设备缆线的长度不应小于1m。

 ?、诖舜Σ徊捎媒徊媪邮保璞咐孪叩某ざ炔挥π∮?m。

  3.3.3 缆线长度计算应符合下列规定:

  1 配线子系统(水平)信道长度应符合下列规定:

  1)配线子系统信道应由链路的水平缆线和设备缆线组成,可包括跳线和CP缆线(图3.3.3-1)。

图片12《综合布线系统工程设计规范》GB50311-2007

图3.3.3-1 配线子系统信道连接方式

  2)配线子系统信道长度计算方法应符合表3.3.3-1规定。

  表3.3.3-1 配线子系统信道长度计算

图片13《综合布线系统工程设计规范》GB50311-2007

  注:1 计算公式中:H为水平缆线的大长度(m),F为楼层配线设备(FD)缆线和跳线及工作区设备缆线总长度(m),C为集合点(CP)缆线的长度(m),X为设备缆线和跳线的插入损耗(dB/m)与水平缆线的插入损耗(dB/m)之比,Y为集合点(CP)缆线的插入损耗(dB/m)与水平缆线的插入损耗(dB/m)之比,2和3为余量,以适应插入损耗值的偏离。

  2 水平电缆的应用长度会受到工作环境温度的影响。当上作环境温度超过20℃时,屏蔽电缆长度按每摄氏度减少0.2%计算,对非屏蔽电缆长度则按每摄氏度减少0.4%(20℃~40℃)和每摄氏度减少0.6%(>40℃~60℃)计算。

  2 干线子系统信道长度应符合下列规定:

  1)干线子系统信道应包括主干缆线、跳线和设备缆线(图3.3.3-2)。

图片14《综合布线系统工程设计规范》GB50311-2007

图3.3.3-2 干线子系统信道连接方式

  2)干线子系统信道长度计算方法应符合表3.3.3-2的规定。

3.4 系统应用

  3.4.1 综合布线系统工程的产品类别及链路、信道等的确定应综合考虑建筑物的性质、功能、应用网络和业务对传输带宽及缆线长度的要求、业务终端的类型、业务的需求及发展、性能价格、现场安装条件等因素,并应符合表3.4.1的规定。

  表3.4.1 布线系统等与类别的选用

图片15《综合布线系统工程设计规范》GB50311-2007

  注:①为建筑物其他弱电子系统采用网络端口传送数字信息时的应用。

  表3.3.3-2 干线子系统信道长度计算

图片16《综合布线系统工程设计规范》GB50311-2007

  注:1 计算公式中:B为主干缆线的长度(m),F为设备缆线与跳线总长度(m),X为设备缆线的插入损耗(dB/m)与主干缆线的插入损耗(dB/m)之比,3为余量,以适应插入损耗值的偏离。

  2 当信道包含的连接点数与图3.3.3-2所示不同,当连接点大于或小于6个时,线缆敷设长度应减少或增加。减少与增加缆线长度的原则为:5类电缆,按每个连接点对应2m计;6类、6A类和7类电缆,按每个连接点对应1m计。而且宜对NEXT、RL和ACR-F予以验证。

  3 主干电缆(连接FD~BD、BD~BD、FD~CD、BD~CD)的应用长度会受到工作环境温度的影响。当工作环境的温度超过20℃时,屏蔽电缆长度按每摄氏度减少0.2%计算,对非屏蔽电缆长度则按每摄氏度减少0.4%(20℃~40℃)和每摄氏度减少0.6%(>40℃~60℃)计算。

  3.4.2 同一布线信道及链路的缆线、跳线和连接器件应保持系统等与阻抗的一致性。

  3.4.3 综合布线系统光纤信道应采用标称波长为850nm和1300nm的多模光纤(OM1、OM2、OM3、OM4),标称波长为1310nm和1550nm(OS1),1310nm、1383nm和1550nm(OS2)的单模光纤。

  3.4.4 单模和多模光缆的选用应符合网络的构成方式、业务的互联方式、以太网交换机端口类型及网络规定的光纤应用传输距离。在楼内宜采用多模光缆,超过多模光纤支持的应用长度或需直接与电信业务经营者通信设施相连时应采用单模光缆。

  3.4.5 配线设备之间互连的跳线宜选用产业化制造的产品,跳线的类别应符合综合布线系统的等要求。在应用电话业务时宜选用双芯对绞电缆。

  3.4.6 工作区信息点为电端口时应采用8位??橥ㄓ貌遄?,光端口应采用SC或LC光纤连接器件及适配器。

  3.4.7 FD、BD、CD配线设备应根据支持的应用、世务、布线的等、产品的性能指标选用,并应符合下列规定:

  1 应用于数据业务时,电缆配线??橛Σ捎?位??橥ㄓ貌遄?/span>

  2 应用于语音业务时,FD干线侧及BD、CD处配线模块应选用卡接式配线???多对、25对卡接式??榧盎叵咝涂ń幽??,FD水平侧配线??橛ρ∮?位模块通用插座。

  3 光纤配线??橛Σ捎玫スせ蛩さ腟C或LC光纤连接器件及适配器。

  4 主干光缆的光纤容量较大时,可采用预端接光纤连接器件(MPO)互通。

  3.4.8 CP集合点安装的连接器件应选用卡接式配线??榛?位??橥ㄓ貌遄蚋骼喙庀肆悠骷褪逝淦?。

  3.4.9 综合布线系统产品的选用应考虑缆线与器件的类型、规格、尺寸对安装设计与施工造成的影响。


3.5 屏蔽布线系统

  3.5.1 屏蔽布线系统的选用应符合下列规定:

  1 当综合布线区域内存在的电磁干扰场强高于3V/m时,宜采用屏蔽布线系统。

  2 用户对电磁兼容性有电磁干扰和防信息泄漏等较高的要求时,或有网络安全保密的需要时,宜采用屏蔽布线系统。

  3 安装现场条件无法满足对绞电缆的间距要求时,宜采用屏蔽布线系统。

  4 当布线环境温度影响到非屏蔽布线系统的传输距离时,宜采用屏蔽布线系统。

  3.5.2 屏蔽布线系统应选用相互适应的屏蔽电缆和连接器件,采用的电缆、连接器件、跳线、设备电缆都应是屏蔽的,并应保持信道屏蔽层的连续性与导通性。


3.6 开放型办公室布线系统

  3.6.1 对于办公楼、综合楼等商用建筑物或公共区域大开间的场地,宜按开放型办公室综合布线系统要求进行设计。

  3.6.2 采用多用户信息插座(MUTO)时,每一个多用户插座宜能支持12个工作区所需的8位??橥ㄓ貌遄?,并宜包括备用量。

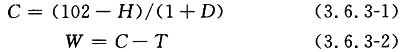
  3.6.3 各段电缆长度应符合表3.6.3的规定,其中,C、W取值应按下列公式进行计算:

图片17《综合布线系统工程设计规范》GB50311-2007

  式中:C——工作区设备电缆、电信间跳线及设备电缆的总长度;

  H——水平电缆的长度,(H+C)≤100m;

  T——电信间内跳线和设备电缆长度;

  W——工作区设备电缆的长度;

  D——调整系数,对24号线规D取为0.2,对26号线规D取为0.5。

  表3.6.3 各段电缆长度限值

图片18《综合布线系统工程设计规范》GB50311-2007

  3.6.4 采用集合点(CP)时,集合点配线设备与FD之间水平缆线的长度不应小于15m,并应符合下列规定:

  1 集合点配线设备容量宜满足12个工作区信息点的需求。

  2 同一个水平电缆路由中不应超过一个集合点(CP)。

  3 从集合点引出的CP电缆应终接于工作区的8位??橥ㄓ貌遄蚨嘤没畔⒉遄?/span>

  4 从集合点引出的CP光缆应终接于工作区的光纤连接器。

  3.6.5 多用户信息插座和集合点的配线箱体应安装于墙体或柱子等建筑物固定的位置。


3.7 工业环境布线系统

  3.7.1 在高温、潮湿、电磁干扰、撞击、振动、腐蚀气体、灰尘等恶劣环境中应采用工业环境布线系统,并应支持语音、数据、图像、视频、控制等信息的传递。

  3.7.2 工业环境布线系统设置应符合下列规定:

  1 工业连接器件应使用于工业环境中的生产区、办公区或控制室与生产区之间的交界场所,也可应用于室外环境。

  2 在工业设备较为集中的区域应设置现场配线设备。

  3 工环境中的配线设备应根据环境条件确定防护等。

  3.7.3 工业环境布线系统应由建筑群子系统、干线子系统、配线子系统、中间配线子系统组成(图3.7.3)。

图片19《综合布线系统工程设计规范》GB50311-2007

图3.7.3 工业环境布线系统架构

  3.7.4 工业环境布线系统的各配线设备之间宜设置备份或互通的路由,并应符合下列规定:

  1 建筑群CD与每一个建筑物BD之间应设置双路由,其中1条应为备份路由。

  2 不同的建筑物BD与BD、本建筑BD与另一栋建筑FD之间可设置互通的路由。

  3 本建筑物不同楼层FD与FD、本楼层FD与另一楼层ID之间可设置互通路由。

  4 楼层内ID与ID、ID与非本区域的TO之间可设置互通的路由。

  3.7.5 布线信道中含有中间配线子系统时,网络设备与ID配线模块之间应采用交叉或互连的连接方式。

  3.7.6 在工程应用中,工业环境的布线系统应山光纤信道和对绞电缆信道构成(图3.7.6),并应符合下列规定:

图片20《综合布线系统工程设计规范》GB50311-2007

图3.7.6 工业环境布线系统光纤信道与电缆信道构成

  1 中间配线设备ID至工作区TO信息点之间对绞电缆信道应采用符合D、E、EA、F、FA等的5、6、6A、7、7A布线产品。布线等不应低于D。

  2 光纤信道可分为塑料光纤信道OF-25、OF-50、OF-100、OF-200,石英多模光纤信道OF-00、OF-300、OF-500及单模光纤信道OF-2000、OF-5000、OF-10000的信道等。

  3.7.7 中间配线设备ID处跳线与设备缆线的长度应符合表3.7.7的规定。

图片21《综合布线系统工程设计规范》GB50311-2007

  注:①此处没有设置跳线时,设备缆线的长度不应小于1m。

  3.7.8 工业环境布线系统中间配线子系统设计应符合下列规定:

  1 中间配线子系统信道应包括水平缆线、跳线和设备缆线(图3.7.8)。

图片22《综合布线系统工程设计规范》GB50311-2007

图3.7.8 中间配线子系统构成

  2 中间配线子系统链路长度计算应符合表3.7.8的规定。

  表3.7.8 中间配线子系统链路长度计算

图片23《综合布线系统工程设计规范》GB50311-2007

  注:1 计算公式中:H为中间配线子系统电缆的长度(m);F为工作区设备缆线及ID处的设备缆线与跳线总长度(m);X为设备缆线的插入损耗(dB/m)与水平缆线的插入损耗(dB/m)之比;3为余量,以适应插入损耗值的偏离。

  2 H的应用长度会受到工作环境温度的影响。当工作环境温度超过20℃时,屏蔽电缆长度按每摄氏度减少0.2%计算,非屏蔽电缆长度则按每摄氏度减少0.4%(20℃~40℃)和每摄氏度减少0.6%(>40℃~60℃)计算。

  3 中间配线子系统信道长度不应大于100m;中间配线子系统链路长度不应大于90m;设备电缆和跳线的总长度不应大于10m,大于10m时中间配线子系统水平缆线的长度应适当减少;跳线的长度不应大于5m。

  3.7.9 工业环境布线系统干线子系统设计应符合下列规定:

  1 干线子系统信道连接方式及链路长度计算应符合本规范第3.3.3条第2款的规定。

  2 对绞电缆的干线子系统可采用D、E、EA、F、FA的布线等。干线子系统信道长度不应大于100m,存在4个连接点时长度不应小于15m。

  3 光纤信道的等及长度应符合表3.7.9的规定。

  表3.7.9 光纤信道长度

图片24《综合布线系统工程设计规范》GB50311-2007


3.8 综合布线在弱电系统中的应用

  3.8.1 综合布线系统应支持具有TCP/IP通信协议的视频安防监控系统、出入口控制系统、停车库(场)管理系统、访客对讲系统、智能卡应用系统,建筑设备管理系统、能耗计量及数据远传系统、公共广播系统、信息导引(标识)及发布系统等弱电系统的信息传输。

  3.8.2 综合布线系统支持弱电各子系统应用时,应满足各子系统提出的下列条件:

  1 传输带宽与传输速率;

  2 缆线的应用传输距离;

  3 设备的接口类型;

  4 屏蔽与非屏蔽电缆及光缆布线系统的选择条件;

  5 以太网供电(POE)的供电方式及供电线对实际承载的电流与功耗;

  6 各弱电子系统设备安装的位置、场地面积和工艺要求。


4光纤到用户单元通信设施

4.1 一般规定

  4.1.1 在公用电信网络已实现光纤传输的地区,建筑物内设置用户单元时,通信设施工程必须采用光纤到用户单元的方式建设。

  4.1.2 光纤到用户单元通信设施工程的设计必须满足多家电信业务经营者平等接入、用户单元内的通信业务使用者可自由选择电信业务经营者的要求。

  4.1.3 新建光纤到用户单元通信设施工程的地下通信管道、配线管网、电信间、设备间等通信设施,必须与建筑工程同步建设。

  4.1.4 用户接入点应是光纤到用户单元工程特定的一个逻辑点,设置应符合下列规定:

  1 每一个光纤配线区应设置一个用户接入点;

  2 用户光缆和配线光缆应在用户接入点进行互联;

  3 只有在用户接入点处可进行配线管理;

  4 用户接入点处可设置光分路器。

  4.1.5 通信设施工程建设应以用户接入点为界面,电信业务经营者和建筑物建设方各自承担相关的工程量。工程实施应符合下列规定:

  1 规划红线范围内建筑群通信管道及建筑物内的配线管网应由建筑物建设方负责建设。

  2 建筑群及建筑物内通信设施的安装空间及房屋(设备间)应由建筑物建设方负责提供。

  3 用户接入点设置的配线设备建设分工应符合下列规定:

  1)电信业务经营者和建筑物建设方共用配线箱时,由建设方提供箱体并安装,箱体内连接配线光缆的配线??橛τ傻缧乓滴窬咛峁┎沧?,连接用户光缆的配线模块应由建筑物建设方提供并安装;

  2)电信业务经营者和建筑物建设方分别设置配线柜时,应各自负责机柜及机柜内光纤配线??榈陌沧?。

  4 配线光缆应由电信业务经营者负责建设,用户光缆应由建筑物建设方负责建设,光跳线应由电信业务经营者安装。

  5 光分路器及光网络单元应由电信业务经营者提供。

  6 用户单元信息配线箱及光纤适配器应由建筑物建设方负责建设。

  7 用户单元区域内的配线设备、信息插座、用户缆线应由单元内的用户或房屋建设方负责建设。

  4.1.6 地下通信管道的设计应与建筑群及园区其他设施的地下管线进行整体布局,并应符合下列规定:

  1 应与光交接箱引上管相衔接。

  2 应与公用通信网管道互通的人(手)孔相衔接。

  3 应与电力管、热力管、燃气管、给排水管保持安全的距离。

  4 应避开易受到强烈震动的地段。

  5 应敷设在良好的地基上。

  6 路由宜以建筑群设备间为向外辐射,应选择在人行道、人行道旁绿化带或车行道下。

  7 地下通信管道的设计应符合现行标准《通信管道与通道工程设计规范》GB 50373的有关规定。


4.2 用户接入点设置

  4.2.1 每一个光纤配线区所辖用户数量宜为70个~300个用户单元。

  4.2.2 光纤用户接入点的设置地点应依据不同类型的建筑形成的配线区以及所辖的用户密度和数量确定,并应符合下列规定:

  1 当单栋建筑物作为1个独立配线区时,用户接入点应设于本建筑物综合布线系统设备间或通信机房内,但电信业务经营者应有独立的设备安装空间(图4.2.2-1)。

图片25《综合布线系统工程设计规范》GB50311-2007

图4.2.2-1 用户接入点设于单栋建筑物内设备间

  2 当大型建筑物或超高层建筑物划分为多个光纤配线区时,用户接入点应按照用户单元的分布情况均匀地设于建筑物不同区域的楼层设备间内(图4.2.2-2)。

图片26《综合布线系统工程设计规范》GB50311-2007

图4.2.2-2 用户接入点设于建筑物楼层区域共用设备间

  3 当多栋建筑物形成的建筑群组成1个配线区时,用户接入点应设于建筑群物业管理机房、综合布线设备间或通信机房内,但电信业务经营者应有独立的设备安装空间(图4.2.2-3)。

图片27《综合布线系统工程设计规范》GB50311-2007

图4.2.2-3 用户接入点设于建筑群物业管理机房或综合布线设备间或通信机房

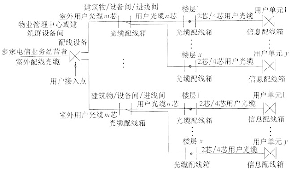
  4 每一栋建筑物形成的1个光纤配线区并且用户单元数量不大于30个(高配置)或70个(低配置)时,用户接入点应设于建筑物的进线间或综合布线设备间或通信机房内,用户接入点应采用设置共用光缆配线箱的方式,但电信业务经营者应有独立的设备安装空间(图4.2.2-4)。


4.3 配置原则

  4.3.1 建筑红线范围内敷设配线光缆所需的室外通信管道管孔与室内管槽的容量、用户接入点处预留的配线设备安装空间及设备间的面积均应满足不少于3家电信业务经营者通信业务接入的需要。

图片28《综合布线系统工程设计规范》GB50311-2007

图4.2.2-4 用户接入点设于进线间或综合布线设备间或通信机房

  4.3.2 光纤到用户单元所需的室外通信管道与室内配线管网的导管与槽盒应单独设置,管槽的总容量与类型应根据光缆敷设方式及终期容量确定,并应符合下列规定:

  1 地下通信管道的管孔应根据敷设的光缆种类及数量选用,宜选用单孔管、单孔管内穿放子管及栅格式塑料管。

  2 每一条光缆应单独占用多孔管中的一个管孔或单孔管内的一个子管。

  3 地下通信管道宜预留不少于3个备用管孔。

  4 配线管网导管与槽盒尺寸应满足敷设的配线光缆与用户光缆数量及管槽利用率的要求。

  4.3.3 用户光缆采用的类型与光纤芯数应根据光缆敷设的位置、方式及所辖用户数计算,并应符合下列规定:

  1 用户接入点至用户单元信息配线箱的光缆光纤芯数应根据用户单元用户对通信业务的需求及配置等确定,配置应符合表4.3.3的规定。

  表4.3.3 光纤与光缆配置

图片29《综合布线系统工程设计规范》GB50311-2007

  2 楼层光缆配线箱至用户单元信息配线箱之间应采用2芯光缆。

  3 用户接入点配线设备至楼层光缆配线箱之间应采用单根多芯光缆,光纤容量应满足用户光缆总容量需要,并应根据光缆的规格预留不少于10%的余量。

  4.3.4 用户接入点外侧光纤??槔嘈陀肴萘坑Π匆虢ㄖ锏呐湎吖饫碌睦嘈图肮饫碌墓庀诵臼渲?。

  4.3.5 用户接入点用户侧光纤??槔嘈陀肴萘坑Π从没Ч饫碌睦嘈图肮饫碌墓庀诵臼?0%或工程实际需要配置。

  4.3.6 设备间面积不应小于10m2。

  4.3.7 每一个用户单元区域内应设置1个信息配线箱,并应安装在柱子或承重墙上不被变更的建筑物部位。


4.4 缆线与配线设备的选择

  4.4.1 光缆光纤选择应符合下列规定:

  1 用户接入点至楼层光纤配线箱(分纡箱)之间的室内用户光缆应采用G.652光纤。

  2 楼层光缆配线箱(分纤箱)至用户单元信息配线箱之间的室内用户光缆应采用G.657光纤。

  4.4.2 室内外光缆选择应符合下列规定:

  1 室内光缆宜采用干式、非延燃外护层结构的光缆。

  2 室外管道至室内的光缆宜采用干式、防潮层、非延燃外护层结构的室内外用光缆。

  4.4.3 光纤连接器件宜采用SC和LC类型。

  4.4.4 用户接入点应采用机柜或共用光缆配线箱,配置应符合下列规定:

  1 机柜宜采用600mm或800mm宽的19″标准机柜。

  2 共用光缆配线箱体应满足不少于144芯光纤的终接。

  4.4.5 用户单元信息配线箱的配置应符合下列规定:

  1 配线箱应根据用户单元区域内信息点数量、引入缆线类型、缆线数量、业务功能需求选用。

  2 配线箱箱体尺寸应充分满足各种信息通信设备摆放、配线模块安装、光缆终接与盘留、跳线连接、电源设备和接地端子板安装以及业务应用发展的需要。

  3 配线箱的选用和安装位置应满足室内用户无线信号覆盖的需求。

  4 当超过50V的交流电压接入箱体内电源插座时,应采取强弱电安全隔离措施。

  5 配线箱内应设置接地端子板,并应与楼层局部等电位端子板连接。


4.5 传输指标

  4.5.1 用户接入点用户侧配线设备至用户单元信息配线箱的光纤链路全程衰减限值可按下式计算:

图片30《综合布线系统工程设计规范》GB50311-2007

  式中:β——用户接入点用户侧配线设备至用户单元信息配线箱光纤链路衰减(dB);

  αf——光纤衰减常数(dB/km),在1310nm波长窗口时,采用G.652光纤时为0.36dB/km,采用G.657光纤时为0.38dB/km~0.4dB/km;

  Lmax——用户接入点用户侧配线设备至用户单元信息配线箱光纤链路大长度(km);

  N——用户接入点用户侧配线设备至用户单元信息配线箱光纤链路中熔接的接头数量;

  2——光纤链路光纤终接数(用户光缆两端);

  αj——光纤接头损耗系数,采用热熔接方式时为0.06dB/个,采用冷接方式时为0.1dB/个。

5系统配置设计

5.1 工作区

  5.1.1 工作区适配器的选用应符合下列规定:

  1 设备的连接插座应与连接电缆的插头匹配,不同的插座与插头之间互通时应加装适配器。

  2 在连接使用信号的数模转换、光电转换、数据传输速率转换等相应的装置时,应采用适配器。

  3 对于网络规程的兼容,应采用协议转换适配器。

  4 各种不同的终端设备或适配器均应安装在工作区的适当位置,并应考虑现场的电源与接地。

  5.1.2 每个工作区的服务面积应按不同的应用功能确定。

5.2 配线子系统

  5.2.1 配线子系统应根据工程提出的近期和远期终端设备的设置要求、用户性质、网络构成及实际需要确定建筑物各层需要安装信息插座??榈氖考捌湮恢?,配线应留有发展余地。

  5.2.2 配线子系统水平缆线采用的非屏蔽或屏蔽4对对绞电缆、室内光缆应与各工作区光、电信息插座类型相适应。

  5.2.3 电信间FD(设备间BD、进线间CD)处,通信缆线和计算机网络设备与配线设备之间的连接方式应符合下列规定:

  1 在FD、BD、CD处,电话交换系统配线设备模块之间宜采用跳线互连(图5.2.3 -1)。

  2 计算机网络设备与配线设备的连接方式应符合下列规定:

  1)在FD、BD、CD处,计算机网络设备与配线设备??橹湟司呓徊媪?图5.2.3-2)。

图片31《综合布线系统工程设计规范》GB50311-2007

图5.2.3-1 电话交换系统中缆线与配线设备间连接方式

图片32《综合布线系统工程设计规范》GB50311-2007

图5.2.3-2 交叉连接方式

  2)在FD、BD、CD处,计算机网络设备与配线设备??橹淇删璞咐孪呋チ?图5.2.3-3)。

图片33《综合布线系统工程设计规范》GB50311-2007

图5.2.3-3 互连方式

  5.2.4 每一个工作区信息插座??槭坎灰松儆?个,并应满足各种业务的需求。

  5.2.5 底盒数量应由插座盒面板设置的开口数确定,并应符合下列规定:

  1 每一个底盒支持安装的信息点(RJ45??榛蚬庀耸逝淦?数量不宜大于2个。

  2 光纤信息插座模块安装的底盒大小与深度应充分考虑到水平光缆(2芯或4芯)终接处的光缆预留长度的盘留空间和满足光缆对弯曲半径的要求。

  3 信息插座底盒不应作为过线盒使用。

  5.2.6 工作区的信息插座模块应支持不同的终端设备接入,每一个8位??橥ㄓ貌遄α?根4对对绞电缆;每一个双工或2个单工光纤连接器件及适配器应连接1根2芯光缆。

  5.2.7 从电信间至每一个工作区的水平光缆宜按2芯光缆配置。至用户群或大客户使用的工作区域时,备份光纤芯数不应小于2芯,水平光缆宜按4芯或2根2芯光缆配置。

  5.2.8 连接至电信间的每一根水平缆线均应终接于FD处相应的配线???,配线??橛肜孪呷萘肯嗍视?。

  5.2.9 电信间FD主干侧各类配线??橛Ω葜鞲衫孪咚枞萘恳?、管理方式及??槔嘈秃凸娓窠信渲?。

  5.2.10 电信间FD采用的设备缆线和各类跳线宜根据计算机网络设备的使用端口容量和电话交换系统的实装容量、业务的实际需求或信息点总数的比例进行配置,比例范围宜为25%~50%。


5.3 干线子系统

  5.3.1 干线子系统所需要的对绞电缆根数、大对数电缆总对数及光缆光纤总芯数,应满足工程的实际需求与缆线的规格,并应留有备份容量。

  5.3.2 干线子系统主干缆线宜设置电缆或光缆备份及电缆与光缆互为备份的路由。

  5.3.3 当电话交换机和计算机设备设置在建筑物内不同的设备间时,宜采用不同的主干缆线来分别满足语音和数据的需要。

  5.3.4 在建筑物若干设备间之间,设备间与进线间及同一层或各层电信间之间宜设置干线路由。

  5.3.5 主干电缆和光缆所需的容量要求及配置应符合下列规定:

  1 对语音业务,大对数主干电缆的对数应按每1个电话8位??橥ㄓ貌遄渲?对线,并应在总需求线对的基础上预留不小于10%的备用线对。

  2 对数据业务,应按每台以太网交换机设置1个主干端口和1个备份端口配置。当主干端口为电接口时,应按4对线对容量配置,当主干端口为光端口时,应按1芯或2芯光纤容量配置。

  3 当工作区至电信间的水平光缆需延伸至设备间的光配线设备(BD/CD)时,主干光缆的容量应包括所延伸的水平光缆光纤的容量。

  4 建筑物配线设备处各类设备缆线和跳线的配置应符合本规范第5.2.10条的规定。

  5.3.6 设备间配线设备(BD)所需的容量要求及配置应符合下列规定:

  1 主干缆线侧的配线设备容量应与主干缆线的容量相一致。

  2 设备侧的配线设备容量应与设备应用的光、电主干端口容量相一致或与干线侧配线设备容量相同。

  3 外线侧的配线设备容量应满足引入缆线的容量需求。


5.4 建筑群子系统

  5.4.1 建筑群配线设备(CD)内线侧的容量应与各建筑物引入的建筑群主干缆线容量一致。

  5.4.2 建筑群配线设备(CD)外线侧的容量应与建筑群外部引入的缆线的容量一致。

  5.4.3 建筑群配线设备各类设备缆线和跳线的配置应符合本规范第5.2.10条的规定。


5.5 入口设施

  5.5.1 建筑群主干电缆和光缆、公用网和专用网电缆、光缆等室外缆线进入建筑物时,应在进线间由器件成端转换成室内电缆、光缆。缆线的终接处设置的入口设施外线侧配线??橛Π闯鋈氲牡?、光缆容量配置。

  5.5.2 综合布线系统和电信业务经营者设置的入口设施内线侧配线??橛τ虢ㄖ锱湎呱璞?BD)或建筑群配线设备(CD)之间敷设的缆线类型和容量相匹配。

  5.5.3 进线间的缆线引入管道管孔数量应满足建筑物之间、外部接入各类信息通信业务、建筑智能化业务及多家电信业务经营者缆线接入的需求,并应留有不少于4孔的余量。


5.6 管理系统

  5.6.1 对设备间、电信间、进线间和工作区的配线设备、缆线、信息点等设施,应按一定的模式进行标识和记录,并应符合下列规定:

  1 综合布线系统工程宜采用计算机进行文档记录与保存,简单且规模较小的综合布线系统工程可按图纸资料等纸质文档进行管理。文档应做到记录准确、及时更新、便于查阅,文档资料应实现汉化。

  2 综合布线的每一电缆、光缆、配线设备、终接点、接地装置、管线等组成部分均应给定的标识符,并应设置标签。标识符应采用统一数量的字母和数字等标明。

  3 电缆和光缆的两端均应标明相同的标识符。

  4 设备间、电信间、进线间的配线设备宜采用统一的色标区别各类业务与用途的配线区。

  5 综合布线系统工程应制订系统测试的记录文档内容。

  5.6.2 所有标签应保持清晰,并应满足使用环境要求。

  5.6.3 综合布线系统工程规模较大以及用户有提高布线系统维护水平和网络安全的需要时,宜采用智能配线系统对配线设备的端口进行实时管理,显示和记录配线设备的连接、使用及变更状况。并应具备下列基本功能:

  1 实时智能管理与监测布线跳线连接通断及端口变更状态;

  2 以图形化显示为界面,浏览所有被管理的布线部位;

  3 管理软件提供数据库检索功能;

  4 用户远程登录对系统进行远程管理;

  5 管理软件对非授权操作或链路意外中断提供实时报警。

  5.6.4 综合布线系统相关设施的工作状态信息应包括设备和缆线的用途、使用部门、组成局域网的拓扑结构、传输信息速率、终端设备配置状况、占用器件编号、色标、链路与信道的功能和各项主要指标参数及完好状况、故障记录等信息,还应包括设备位置和缆线走向等内容。

6性能指标

6.1 缆线与连接器件性能指标

  6.1.1 D、E、F的对绞电缆布线信道器件的标称阻抗应为100Ω,A、B、C可为100Ω或120Ω。

  6.1.2 对绞电缆基本电气特性应符合下列规定:

  1 信道每个线对中的两个导体之间的d.c.环路电阻不平衡度对所有类别不应超过3%。

  2 电缆在所有的温度下应用时,D、E、EA、F、FA信道每一导体小载流量应为0.175A(d.c.)。

  3 布线系统在工作环境温度下,D、E、EA、F、FA信道应支持任意导体之间72V(d.c.)的工作电压。

  4 布线系统在工作环境温度下,D、E、EA、F、FA信道每个线对应支持承载10W的功率。

  5 对绞电缆的性能指标参数应包括衰减、等电平远端串音衰减、等电平远端串音衰减功率和、衰减远端串音比、衰减远端串音比功率和、耦合衰减、转移阻抗、不平衡衰减(近端)、近端串音功率和、外部串音(EA、FA)。

  6 2m、5m对绞电缆跳线的指标参数值应包括回波损耗、近端串音。

  6.1.3 对绞电缆连接器件基本电气特性应符合下列规定:

  1 配线设备模块工作环境的温度应为—10℃~+60℃。

  2 应具有的标记或颜色。

  3 连接器件应支持0.4mm~0.8mm线径导体的连接。

  4 连接器件的插拔率不应小于500次。

  5 器件连接应符合下列规定:

  1)RJ45 8位??橥ㄓ貌遄砂?68A或568B的方式进行连接(图6.1.3-1)。

图片37《综合布线系统工程设计规范》GB50311-2007

图6.1.3-1 8位??槭酵ㄓ貌遄?/span>

  注:G(Green)-绿;BL(Blue)-蓝;BR(Brown)-棕;W(White)-白;0(Orange)-橙

  2)4对对绞电缆与非RJ45??橹战邮?,应按线序号和组成的线对进行卡接(图6.1.3-2、图6.1.3-3)。

图片38《综合布线系统工程设计规范》GB50311-2007

  6 连接器件的性能指标参数应包括回波损耗、插入损耗、近端串音、近端串音功率和、远端串音、远端串音功率和、输入阻抗、不平衡输入阻抗、载流量、时延、时延偏差、横向转换损耗、横向转换转移损耗、耦合衰减(屏蔽布线)、转移阻抗(屏蔽布线)、绝缘电阻、外部近端串音功率和、外部远端串音功率和。


6.2 系统性能指标

  6.2.1 划绞电缆布线系统链路、CP链路及信道的回波损耗、插入损耗、近端串音、近端串音功率和、衰减远端串音比、衰减远端串音比功率和、衰减近端串音比、衰减近端串音比功率和、直流环路电阻、时延、时延偏差、外部近端串音功率和、外部远端串音比功率和等性能指标参数的规定值应符合本规范附录A的规定。

  6.2.2 在工程的安装设计中应考虑综合布线系统产品的缆线结构、直径、材料、承受拉力、弯曲半径等机械性能指标。

  6.2.3 光纤布线系统OF-300、OF-500、OF-2000各等的光纤信道衰减值应符合本规范附录A的规定。

  6.2.4 工业环境布线系统性能指标应符合下列规定:

  1 电缆布线系统的性能指标应包括回波衰耗、插入损耗、近端串音、近端串音功率和、衰减串音比、衰减串音比功率和、等电平远端串音衰减、等电平远端串音衰减功率和、传播时延、时延偏差、直流环路电阻、长度、连接正确性、导通性能。

  2 光纤布线系统的性能指标应包括光衰耗、模式带宽、传播时延、长度、连接性。

  6.2.5 对绞电缆布线系统应用在工业以太网、POE及高速信道的情况下,还应考虑横向转换损耗、两端等效横向转换损耗、不平衡电阻、耦合衰减等屏蔽特性指标。

7安装工艺要求


7.1 工作区

  7.1.1 工作区信息插座的安装应符合下列规定:

  1 暗装在地面上的信息插座盒应满足防水和抗压要求。

  2 工业环境中的信息插座可带有保护壳体。

  3 暗装或明装在墙体或柱子上的信息插座盒底距地高度宜为300mm。

  4 安装在工作台侧隔板面及临近墙面上的信息插座盒底距地宜为1.0m。

  5 信息插座??橐瞬捎帽曜?6系列面板安装,安装光纤??榈牡缀猩疃炔挥π∮?0mm。

  7.1.2 工作区的电源应符合下列规定:

  1 每个工作区宜配置不少于2个单相交流220V/10A电源插座盒。

  2 电源插座应选用带?;そ拥氐牡ハ嗟缭床遄?。

  3 工作区电源插座宜嵌墙暗装,高度应与信息插座一致。

  7.1.3 CP集合点箱体、多用户信息插座箱体宜安装在导管的引入侧及便于维护的柱子及承重墙上等处,箱体底边距地高度宜为500mm,当在墙体、柱子的上部或吊顶内安装时,距地高度不宜小于1800mm。

  7.1.4 每个用户单元信息配线箱附近水平70mm~150mm处,宜预留设置2个单相交流220V/10A电源插座,并应符合下列规定:

  1 每个电源插座的配电线路均应装设?;さ缙?,电源插座宜嵌墙暗装,底部距地高度应与信息配线箱一致。

  2 用户单元信息配线箱内应引入单相交流220V电源。


7.2 电信间

  7.2.1 电信间的设计应符合下列规定:

  1 电信间数量应按所服务楼层面积及工作区信息点密度与数量确定。

  2 同楼层信息点数量不大于400个时,宜设置1个电信间;当楼层信息点数量大于400个时,宜设置2个及以上电信间。

  3 楼层信息点数量较少,且水平缆线长度在90m范围内时,可多个楼层合设一个电信间。

  7.2.2 当有信息安全等特殊要求时,应将所有涉密的信息通信网络设备和布线系统设备等进行空间物理隔离或独立安放在专用的电信间内,并应设置独立的涉密机柜及布线管槽。

  7.2.3 电信间内,信息通信网络系统设备及布线系统设备宜与弱电系统布线设备分设在不同的机柜内。当各设备容量配置较少时,亦可在同一机柜内作空间物理隔离后安装。

  7.2.4 各楼层电信间、竖向缆线管槽及对应的竖井宜上下对齐。

  7.2.5 电信间内不应设置与安装的设备无关的水、风管及低压配电缆线管槽与竖井。

  7.2.6 根据工程中配线设备与以太网交换机设备的数量、机柜的尺寸及布置,电信间的使用面积不应小于5m2。当电信间内需设置其他通信设施和弱电系统设备箱柜或弱电竖井时,应增加使用面积。

  7.2.7 电信间室内温度应保持在10℃~35℃,相对湿度应保持在20%~80%之间。当房间内安装有源设备时,应采取满足信息通信设备可靠运行要求的对应措施。

  7.2.8 电信间应采用外开防火门,房门的防火等应按建筑物等类别设定。房门的高度不应小于2.0m,净宽不应小于0.9m。

  7.2.9 电信间内梁下净高不应小于2.5m。

  7.2.10 电信间的水泥地面应高出本层地面不小于100mm或设置防水门槛。室内地面应具有防潮、防尘、防静电等措施。

  7.2.11 电信间应设置不少于2个单相交流220V/10A电源插座盒,每个电源插座的配电线路均应装设?;て?。设备供电电源应另行配置。


7.3 设备间

  7.3.1 设备间设置的位置应根据设备的数量、规模、网络构成等因素综合考虑。

  7.3.2 每栋建筑物内应设置不小于1个设备间,并应符合下列规定:

  1 当电话交换机与计算机网络设备分别安装在不同的场地、有安全要求或有不同业务应用需要时,可设置2个或2个以上配线专用的设备间。

  2 当综合布线系统设备间与建筑内信息接入机房、信息网络机房、用户电话交换机房、智能化总控室等合设时,房屋使用空间应作分隔。

  7.3.3 设备间内的空间应满足布线系统配线设备的安装需要,其使用面积不应小于10m2。当设备间内需安装其他信息通信系统设备机柜或光纤到用户单元通信设施机柜时,应增加使用面积。

  7.3.4 设备间的设计应符合下列规定:

  1 设备间宜处于干线子系统的中间位置,并应考虑主干缆线的传输距离、敷设路由与数量。

  2 设备间宜靠近建筑物布放主干缆线的竖井位置。

  3 设备间宜设置在建筑物的首层或楼上层。当地下室为多层时,也可设置在地下一层。

  4 设备间应远离供电变压器、发动机和发电机、X射线设备、无线射频或雷达发射机等设备以及有电磁干扰源存在的场所。

  5 设备间应远离粉尘、油烟、有害气体以及存有腐蚀性、易燃、易爆物品的场所。

  6 设备间不应设置在厕所、浴室或其他潮湿、易积水区域的正下方或毗邻场所。

  7 设备间室内温度应保持在10℃~35℃,相对湿度应保持在20%~80%之间,并应有良好的通风。当室内安装有源的信息通信网络设备时,应采取满足设备可靠运行要求的对应措施。

  8 设备间内梁下净高不应小于2.5m。

  9 设备间应采用外开双扇防火门。房门净高不应小于2.0m,净宽不应小于1.5m。

  10 设备间的水泥地面应高出本层地面不小于100mm或设置防水门槛。

  11 室内地面应具有防潮措施。

  7.3.5 设备间应防止有害气体侵入,并应有良好的防尘措施,尘埃含量限值宜符合表7.3.5的规定。

图片39《综合布线系统工程设计规范》GB50311-2007

  7.3.6 设备间应设置不少于2个单相交流220V/10A电源插座盒,每个电源插座的配电线路均应装设?;て?。设备供电电源应另行配置。


7.4 进线间

  7.4.1 进线间内应设置管道入口,入口的尺寸应满足不少于3家电信业务经营者通信业务接入及建筑群布线系统和其他弱电子系统的引入管道管孔容量的需求。

  7.4.2 在单栋建筑物或由连体的多栋建筑物构成的建筑群体内应设置不少于1个进线间。

  7.4.3 进线间应满足室外引入缆线的敷设与成端位置及数量、缆线的盘长空间和缆线的弯曲半径等要求,并应提供安装综合布线系统及不少于3家电信业务经营者入口设施的使用空间及面积。进线间面积不宜小于10m2。

  7.4.4 进线间宜设置在建筑物地下一层临近外墙、便于管线引入的位置,其设计应符合下列规定:

  1 管道入口位置应与引入管道高度相对应。

  2 进线间应防止渗水,宜在室内设置排水地沟并与附近设有抽排水装置的集水坑相连。

  3 进线间应与电信业务经营者的通信机房,建筑物内配线系统设备间、信息接入机房、信息网络机房、用户电话交换机房、智能化总控室等及垂直弱电竖井之间设置互通的管槽。

  4 进线间应采用相应防火别的外开防火门,门净高不应小于2.0m,净宽不应小于0.9m。

  5 进线间宜采用轴流式通风机通风,排风量应按每小时不小于5次换气次数计算。

  7.4.5 与进线间安装的设备无关的管道不应在室内通过。

  7.4.6 进线间安装信息通信系统设施应符合设备安装设计的要求。

  7.4.7 综合布线系统进线间不应与数据使用的进线间合设,建筑物内各进线间之间应设置互通的管槽。

  7.4.8 进线间应设置不少于2个单相交流220V/10A电源插座盒,每个电源插座的配电线路均应装设?;て?。设备供电电源应另行配置。


7.5 导管与桥架安装

  7.5.1 布线导管或桥架的材质、性能、规格以及安装方式的选择应考虑敷设场所的温度、湿度、腐蚀性、污染以及自身耐水性、耐火性、承重、抗挠、抗冲击等因素对布线的影响,并应符合安装要求。

  7.5.2 缆线敷设在建筑物的吊顶内时,应采用金属导管或槽盒。

  7.5.3 布线导管或槽盒在穿越防火分区楼板、墙壁、天花板、隔墙等建筑构件时,其空隙或空闲的部位应按等同于建筑构件耐火等的规定封堵。塑料导管或槽盒及附件的材质应符合相应阻燃等的要求。

  7.5.4 布线导管或桥架在穿越建筑结构伸缩缝、沉降缝、抗震缝时,应采取补偿措施。

  7.5.5 布线导管或槽盒暗敷设于楼板时不应穿越机电设备基础。

  7.5.6 暗敷设在钢筋混凝土现浇楼板内的布线导管或槽盒大外径宜为楼板厚的1/4~1/3。

  7.5.7 建筑物室外引入管道设计应符合建筑结构地下室外墙的防水要求。引入管道应采用热浸镀锌厚壁钢管,外径50mm~63.5mm钢管的壁厚度不应小于3mm,外径76mm~114mm钢管的壁厚度不应小于4mm。

  7.5.8 建筑物内采用导管敷设缆线时,导管选用应符合下列规定:

  1 线路明敷设时,应采用金属管、可挠金属电气导管?;ぁ?/span>

  2 建筑物内暗敷设时,应采用金属管、可弯曲金属电气导管等保护。

  3 导管在地下室各层楼板或潮湿场所敷设时,不应采用壁厚小于2.0mm的热镀锌钢管或重型包塑可弯曲金属导管。

  4 导管在二层底板及以上各层钢筋混凝土楼板和墙体内敷设时,可采用壁厚不小于1.5mm的热镀锌钢导管或可弯曲金属导管。

  5 在多层建筑砖墙或混凝土墙内竖向暗敷导管时,导管外径不应大于50mm。

  6 由楼层水平金属槽盒引入每个用户单元信息配线箱或过路箱的导管,宜采用外径20mm~25mm钢导管。

  7 楼层弱电间(电信间)或弱电竖井内钢筋混凝土楼板上,应按竖向导管的根数及规格预留楼板孔洞或预埋外径不小于89mm的竖向金属套管群。

  8 导管的连接宜采用专用附件。

  7.5.9 槽盒的直线连接、转角、分支及终端处宜采用专用附件连接。

  7.5.10 在明装槽盒的路由中设置吊架或支架,宜设置在下列位置:

  1 直线段不大于3m及接头处;

  2 首尾端及进出接线盒0.5m处;

  3 转角处。

  7.5.11 布线路由中每根暗管的转弯角不应多于2个,且弯曲角度应大于90°。

  7.5.12 过线盒宜设置于导管或槽盒的直线部分,并宜设置在下列位置:

  1 槽盒或导管的直线路由每30m处;

  2 有1个转弯,导管长度大于20m时;

  3 有2个转弯,导管长度不超过15m时;

  4 路由中有反向(U形)弯曲的位置。

  7.5.13 导管管口伸出地面部分应为25mm~50mm。


7.6 缆线布放

  7.6.1 建筑物内缆线的敷设方式应根据建筑物构造、环境特征、使用要求、需求分布以及所选用导体与缆线的类型、外形尺寸及结构等因素综合确定,并应符合下列规定:


  因篇幅有限请到资料下载   下载完整文件。

  还可以了解更多关于会议室解决方案、产品和案例 等信息。

  还可以了解更多关于体育场馆解决方案、产品和案例 等信息。

  还可以了解更多关于剧场剧院解决方案、产品和案例 等信息。

  还可以了解更多关于学校教育   解决方案、产品和案例   等信息。

目前已有876人预约解决方案

卓邦资质

卓邦营业执照 高新技术企业证书

企业拥有国际认证资质4项,国家级认证资质3项
行业认证资质22项

项目实施能力

项目技术工程师 项目技术工程师

建设工程师 建设工程师

工程师 工程师

相关案例展示